ترک داخلی
ترک داخلی اغلب زمانی که چوب در حال خشک شدن بدلیل نیروهای داخلی در معرض چین خوردگی سلولی است اتفاق می افتد که یک مشکل محسوب می شود. بر اساس نظر بوکر 1994 ترک داخلی و چین خوردگی سلولی هردو ناشی از یک مکانیسم می باشند. فشار نسبی منفی درطول دوره کاپیلاریته خشک کردن باعث ایجاد کشش دیواره سلول می شود. بعد از آن بازگشت تنش باعث ایجاد کشش در قسمت های داخلی تیرها شده و باعث انتشار ترک های کوچک بوجود آمده در طول زمان کاپیلاریته می شود.در تیمار حرارتی هم مشکلاتی بدلیل ترک های داخلی بوجود می آید اما چون هیچ آب آزادی وجود ندارد ترک ها آنچنان پیشرفت نمی کنند.
اندازه گیری ترک های داخلی
در مقاله I و II ترک های داخلی بعد از بریدن تخته ها و تهیه قطعات از مقطع عرضی، بوسیله چشم غیر مسلح و شمارش آنها همانطور که در تصویر ... مشاهده می شود اندازه گیری شد.در آزمایشات حضور گره ها، مغز، ترک داخلی و ترک همراه با گره ثبت شدند. این روش ارزیابی وقت گیر و ذهنی می باشد.اگر مطالعات بیشتری انجام بگیرد، به روش عملی و بدون دخالت نظر خصوصی نیاز است.
این روش شاید بر این پایه باشد که بعنوان مثال از رایانه برای برای آنالیز تصاویر و ترک های داخلی و شمارش آنها استفاده شود.

روش استفاده شده برای تعیین ترک های داخلی تخته بریده شده. تخته در از مقطع صرضی بریده شده و یک مقطع بصورت ماکروسکوپی شمرده می شود.برای هر شمارش بصری سطح، تعداد ترک های داخلی، گره ها، ترک در گره و حضور مغز ثبت شدند.
کاهش توده خشک
تیمار حرارتی باعث کاهش حجم خشک چوب شده که باعث همکشیدگی آن می شود. بر طبق نظر چانگ و کیس 1978 رابطه همبستگی بالایی بین کاهش حجم خشک و همکشیدگی حجمی وجود دارد. آنها همچنین نشان دادند که هرسونایکسانی همکشیدگی شبیه به همکشیدگی ناشی از تغیر مقدار رطوبت است. چون چانگ و کیس (1978) فقط پهن برگان را مورد مطالعه قرار داده بودند، آزمایش کوچکی برای مطالعه هرسونایکسانی همکشیدگی نوئلانجام شد. 7 نمونه با ابعاد 35x35x400 mm مورد استفاده قرار گرفت. تمام نمونه ها ابتدا به مدت 24 ساعت در کوره کاملا خشک شدند. سپس هر نمونه در سه موقعیت مختلف در حدود 100 میلیمتر بدور از هم اندازه گیری شد. سپس تیمار حرارتی در 212c° برای 3 ساعت انجام شدو پس از آن نمونه ها یک بار دیگر اندازه گیری شدند. نتایج نشان دهنده متوسط همکشیدگی 78/1 % در سطح مماسی و 68/0 % در سطح شعاعی بود. این نتایج نشان دهنده هرسونایکسانی 6/2 بود که از هر سو نایکسانی ناشی از تغیرات رطوبت بیشتر است. همکشیدگی مماسی ناشی از تیمار حرارتی با کاهش رطوبت 7 درصدی قابل مقایسه است. این بدان معنی است که در طول تخریب حرارتی،تغیر شکل یا تولید تنش می تواند وجود داشته باشد. نتایج مقاله II این قرضیه را بوسیله یک رابطه معنی دار آماری بین کاهش توده خشک و توسعه ترک های داخلی تخته بیشتر تقویت می کند.
خشک کردن
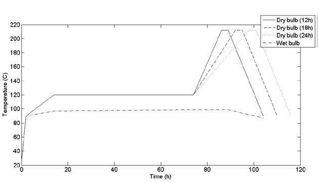
ایجاد نیروی کششی در قسمت های داخلی تخته در حین عملیات خشک کردن پدیده شناخته شده ای است. این تنش ناشی از گرادیان رطوبتی، هرسو نایکسانی و mechanosorptive creep می باشد. تاثیر mechanosorptive creepاغلب به موضوع سخت شدن یا set مربوط می شود. مقاله های I و II هر دو نشان دادند که خشک کردن تاثیر بزرگی بر توسعه ترک های داخلی دارد. در مقاله III دسته های 6 تایی از تخته های نوئل بوسیله سه فرآیند مختلف تیمار حرارتی شدند.(تصویر ... را ببینید) سه تا از دسته ها در یک محیط با 90c° دمای خشک و 70c° دمای تر از 18% رطوبت به 6% خشک شدند و سه دسته دیگر فرآیند را با 18% رطوبت آغاز کردند.

سه فرآیند بابرنامه های مختلف در مقاله III مورد استفاده قرار گرفتند. برای هر فرآیند با بازه های زمانی متفاوت دو دسته چوب، یکی با 18% رطوبت و دیگری با 6% رطوبت اولیه تیمار شدند.
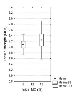
نتایج موجود در مقاله III نشان داد که پیش خشک کردن و نرخ گرما دهی آرامتر در طی دومین برنامه خشک کردن باعث ترک های داخلی کمتری می شود. اینطور نتیجه گیری شد که کاهش تنش ناشی از خشک کردن محتمل ترین توضیح برای کمتر شدن توسعه ترک های داخلی در دسته های پیش خشک شده بود. به عنوان مرجع دو گروه اضافی در معرض همان شرایط از نقطه آغاز برنامه دوم خشک کردن قرار گرفتند. یکی از گروه ها 18% رطوبت اولیه و دیگری از تخته های پیش خشک شده و 6% رطوبت اولیه بودند. آزمایش برش زنی بعد از حدود 4 ماه نگهداری به روی نمونه ها انجام شد. متوسط عرض شکاف ها بعد از برش زنی در نمونه های با رطوبت اولیه 18% حدود4/0 میلیمتر بود در صورتی که هیچ ترک و شکافی در نمونه های با رطوبت اولیه 6% یافت نشد. در مقاله III بحثی در مورد اینکه آیا ترک ها همچنین می توانند ناشی از تاثیر ترک های میکروسکوپی ریز در تخته ها در طی خشک کردن سریع و با دمای بالا باشند. بنابراین آزمایش کوچکی به روی مقاومت کشش مماسی به روی تخته های مرجع انجام شد. اگر ترک های میکروسکوپی در آن ها وجود داشت باید مقاومت آن ها کمتر می شد. نمونه های ازمایش همانطور که در تصویر 18 می بینید تهیه شدند.

نمونه ها برای آزمایش مقاومت به کشش در جهت مماسی. این طراح یبرای مقایسه بین دو گروه مرجع در مقاله III و همچنین در یک مطالعه کوچک درباره تاثیر دمای بالا بر مقاومت کششی مورد استفاده قرار گرفتند.
نتایج نشان داده شده در تصویر19 هیچ کاهشی در متوسط مقاومت کششی در جهت مماسی نشان نمی دهد. به هر حال انحراف معیار گروه پیش خشک شده تنها نصف آن گروه و 18% رطوبت اولیه است و تفاوت ها از نظر آماری با اهمیت می باشد. هیچ گونه توضیحی برای این تفاوت در انحراف معیار یافت نشد. این به سادگی ممکن است به دلیل تفاوت در مواد باشد از آنجایی که یک مجموعه کاملا کوچک آزمایشی است. اما نتایج نشان می دهد که هیچ کاهشی در مقاومت مماسی در گروه 18% رطوبت اولیه وجود ندارد. همچنین در مقاله III بحثی درباره امکان وجود تغییر خصوصیات در دمای بالا که می توانند باعث توسعه ترک های داخلی شوند وجود دارد. برای مثال آیا یک افت ناگهانی در مقاومت یا یک تغییر شدید در MOE وجود دارد. بنابراین مقاومت مماسی یک مجموعه از نمونه های شاهد نوئل در 150°C ،°C 180 و°C 210 آزمایش شد. نمونه های آزمایشی به همان شیوه ی نمونه های قبلی ساخته شدند. آزمایش داخل یک آون انجام شد. به منظور دانستن اینکه چه هنگام دمای داخلی چوب به دمای آزمایش می رسد و در عین حال عدم تخریب چوب یک نمونه مرجع درست کنار نمونه ازایش قرار گرفت. به درون این نمونه مرجع یک ترموکوپل وارد شد. دمای داخل این نمونه مرجع برای تعیین اینکه چه هنگام آزمایش باید شروع شود استفاده شد.

مقاومت کششی در جهت مماسی برای دو گروه مرجع
از نتایج نشان داده شده در تصاویر 20-21-22 می توان دریافت که در دمای بالا چوب تمایل دارد که بیشتر رفتار پلاستیکی داشته باشد. یک توضیح برای افزایش این رفتار پلاستیکی این است که چوب نزدیک دمای انتقال شیشه ای است. دمای انتقال شیشه ای در چوب بسیار وابسته به رطوبت آن است. طبق نظر salmen 1982 دمای انتقال شیشه ای برای همی سلولز و لیگنین ایزوله شده وقتی خشک باشند c°180- c°220 است. زمانی که تر باشند دمای انتقال شیشه ای برای لیگنین تا c°80-c°90 کاهش می یابد و برای همی سلولز در حد دمای اتاق است. این نشان می دهد که ترک داخلی قبل از رسیدن به دمای حداکثر رخ می دهد، چون در طی زمان تیمار کاهش یافتن تنش ها به احمتال بیشتری رخ می دهد.این مسئاله همچنین با اجرای آزمایش اسلایس زنی بروی چوب تیمار حرارتی شده در مقاله II تائید می شود که هیچ مقادیر تنشی را نشان نمی دهد.
آزمایش مقاومت کششی در جهت مماسی در چوب نوئل. آزمایش در یک آون گرم شده تا دمای c° 150 انجام شد.
آزمایش مقاومت کششی در جهت مماسی در چوب نوئل. آزمایش در یک آون گرم شده تا دمایc° 180 انجام شد.

آزمایش کشش در جهت مماسی در چوب نوئل. آزمایش در آون گرم شده تا دمایc°210انجام شد.
در شکل زیر مقاومت کششی نشان داده شده. نتایج، کاهش 30% در مقاومت کششی از c° 150 تا c°210 را نشان می دهد که دارای اهمیت آماری است.(t=3/264 , p= 0/0310 ) همچنین کاهش معنی داری در انحراف معیار وجود دارد. (F = 9/991 , P = 0/0132) . این احتمالا ناشی از پخش شدن بیشتر تنش باشد، وقتیی که چوب در حد دمای انتقال شیشه ای قرار می گیرد. این مسئله همچنین این فرضیه را که ترک داخلی در طول برنامه با دمای بالا رخ می دهد را بیشتر تائید می کند. چون اگر ترک داخلی در دمای بالای c° 200 رخ می داد ترک ها باید خیلی بیشتر در میان تخته ها پراکنده می شدند. ازین رو تفاوت بین آنها کاهش می یابد.
مقاومت کششی در جهت مماسی در چوب نوئل در c° 150- c°170و c°210 .
رفتار خزش احتمالا توضیحی دارد برای اینکه چرا در هر دو مقاله II و III نشان می دهند که یک افزایش دمای آرام تر در دومین برنامه خشک کردن باعث کمتر شدن ترک داخلی می شود. نظر به اینکه رفتار خزش در دمای بالا افزایش می یابد احتمالا ممکن است بوسیله داشتن یک کاهش رطوبت و خشک شدن ملایم تا نقطه اشباع الیاف و بنابراین بالا آمدن سریع دما در خلال برنامه دوم خشک کردن باعث دوری کردن از ترک داخلی شود.بنابراین اگر دما به اندازه کافی سریع افزایش یابد، سطح تخته ها نرم تر شده و تنش داخلی تولید نمی شود.Perre&passard 2004 اشاره کردند که خشک کردن با دمای بالا باید در دمای بالاتر از تغییر شیشه ای برای رهایی از معایب اجرا شود.